Cargos de ajuste en la tarifa de envío

Cargos de ajuste en la tarifa de envío

El cargo de ajuste en la tarifa inicial cotizada para tu envío ocurre durante el proceso de entrega de la mercancía. Estos cargos se pueden dar por alguno de los siguientes conceptos que listamos: 

Peso adicional

Todos los envíos una vez recolectados por la mensajería contratada, son llevados a sus centros operativos en donde se colocan en una banda eléctrica que corre dentro de escáner. Esto se hace para verificar que el peso y dimensiones declaradas sean correctas.  En caso de que haya una discrepancia en cuanto a tamaño o peso de tu paquete con lo declarado en tu envío, se realiza el ajuste correspondiente. 

Todas las mensajerías toman en cuenta el peso mahyor entre el peso físico y el volumétrico, por lo que harán el ajuste con base a este dato. 

Peso volumétrico

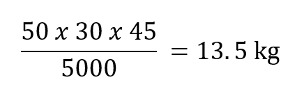
Las mensajerías trabajan siempre con el llamado Peso Volumétrico. Para calcular dicho peso volumétrico, hay que multiplicar: largo x ancho x alto/ 5,000. 

Ejemplo: 






Devolución

Es probable que tu destinatario ya no desee recibir el paquete o te haya cancelado de último momento la compra y solicites la devolución. 

Retorno / Entrega imposible

Si la mensajería ya hizo los intentos máximos de entrega sin éxito, la mensajería podrá embarcar el paquete con retorno a origen.

Cambio de domicilio

Si te equivocaste al ingresar la dirección y el envío ya se encuentra en ruta de entrega, o deseas enviarlo a otra dirección, puedes hacer la solicitud pero tendrá un cargo adicional.

Manejo especial

Todo envío que lleve las siguientes características, podrá tener un ajuste de precio: 

  1. No se encuentra dentro de una caja o contenedor.
  2. La caja está cubierta con envoltura elástica.
  3. Se encuentra dentro de una caja de lados blandos que exceda de 45 x 33 x 12 cms.
  4. Sea en forma de cilindro. 
  5. Esté atado con bandas de metal, plástico o tela, o tiene ruedas, manijas o correas.
  6. Lleva etiquetas de frágil.
  7. El contenido sobresale y cambia la forma del contenedor.

Cobros por aduanas

Si tu envío es internacional, podrá ser acreedor a impuestos arancelarios, entre otros cargos, por lo que podrás ver reflejado el monto de estos cargos en tu cuenta.

Recolección sabatina

Si solicitaste la recolección en día sábado.

Intento de recolección

iVoy, Borzo y Treggo cobran una penalización por cancelar un servicio si ya tiene intentos de recolección. 

3er Intento de Recolección

Si la mensajería acudió las 2 veces que tiene para recolectar, y se desea solicitar un tercer intento, esta tiene un cobro adicional. 

Firma indirecta requerida

Algunas mensajerías generan un ajuste si un vecino, portero o algún tercero al destinatario firma de recibido el paquete. Se presenta principalmente en envíos internacionales.

Almacenamiento temporal

Cargo por la operación de almacenar mercancías en aduanas.

Área remota

Existen códigos postales en los que la frecuencia de entregas de envíos es baja. Es por esto que las mensajerías cobran un adicional para concretar el servicio. Cada paquetería maneja una cobertura distinta, por lo que puede que una mensajería detecte un código postal  como zona extendida y otra paquetería no. Esto lo puedes verificar directamente en los resultados de nuestro cotizador:  https://enviaya.com.mx/ 

Zona residencial

Hay zonas que son consideradas como residenciales y que suelen ser de difícil acceso para los mensajeros, por la seguridad que manejan en el fraccionamiento. Esto puede hacer que haya un sobre cargo en tu envío. 

Envío multi pieza

Este tipo de envíos requieren un maniobraje especial. Esto se debe a la cantidad de paquetes que se pueden manipular bajo la guía máster en los centros logísticos. Es muy probable que por este motivo se aplique un sobre coste, al generar tiempos de gestión más largo que los que se han calculado inicialmente. 

Paquete extra grande

Para este tipo de envíos se realiza un maniobraje diferente, ya sea el uso de un montacargas o una camioneta especial de recolección y entrega.

Tiempo de espera

Se aplica en el caso de la mensajería iVoy.  Al ser un servicio de mensajería express, manejan un tiempo de espera de 7 minutos, para que el cliente puede entregar o recoger el paquete. Después de este lapso de tiempo, se comienza a cobrar el tiempo extra a $1.50 por minuto extra. 


    • Related Articles

    • Formas de pago aceptadas en EnvíaYa

      ¿Qué formas de pago aceptamos en Envía? En EnvíaYa aceptamos diferentes formas de pago para facilitarte la gestión de tus envíos. Al día de hoy aceptamos recargas de crédito y pago de: PayPal, Tarjetas de crédito o débito, Oxxo, Kueskipay, SPEI y ...
    • ¿Cuál es la diferencia entre la factura electrónica y la factura comercial?

      Facturación electrónica La factura electrónica es un comprobante fiscal digital que se genera mediante internet (CFDI). Este comprobante es emitido a través del SAT y te funcionará en materia contable y fiscal. Factura comercial La factura comercial ...
    • Revisa tu balance de saldo prepago y crédito

      Revisa tu balance de saldo prepago y crédito  Las hojas de balance aplican para las cuentas que tienen saldo prepago (nacional o internacional) o crédito concedido.  Cuando creas una nueva cuenta en tu perfil de EnvíaYa, automáticamente se divide la ...
    • ¿Cuánto tiempo tengo para solicitar la cancelación de una factura electrónica? ¿Cómo lo hago?

      Para solicitar la cancelación puedes solicitarlo mediante el Chat de la página https://enviaya.com.mx/ y nuestro equipo de Atención al Cliente te apoyara. ​ En algunos casos es posible se te soliciten levantar un ticket de solicitud para cancelar la ...
    • Reembolso de guías y prepagos

      Si no utilizaste tu guía, puedes solicitar tu reembolso a prepago para un envío futuro o a la forma original de pago.  Si lo deseas a prepago es necesario que te pongas en contacto con uno de nuestros ejecutivos a través del chat en la página de ...